« Back to News & Notices

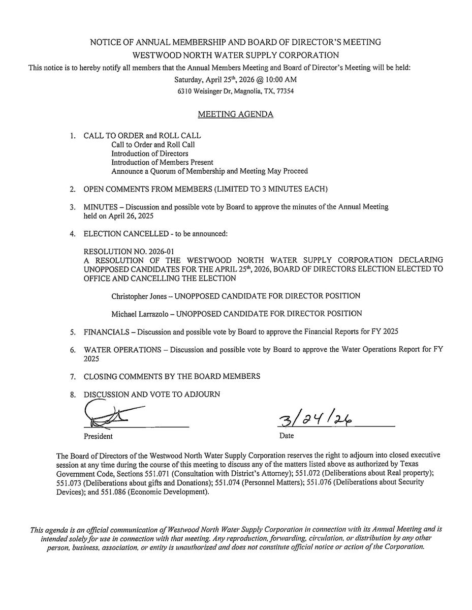
Annual Meeting Notice and Agenda April 25, 2026

The Annual Membership Meeting for the Westwood North Water Supply Corporation (“the Corporation”) will be held at 6310 Weisinger Dr, Magnolia, TX, 77354. The meeting will start at 10:00 a.m. on the 25th of April, 2026. Members who want to address the Board of Directors (the “Board”) or the membership must sign-in on a separate sheet indicating the topic they wish to discuss.  Members will be given three (3) minutes each to speak. The Board cannot discuss any items presented; only listen. No motions may be accepted or action taken on issues brought up at the meeting from the floor. All action items must have been included on the posted agenda. Members can request that items be placed on the agenda for future annual members’ meetings. This limitation is required by the public notice requirements of the Texas Open Meetings Act and is not an attempt to limit any member’s access to the Board or the membership.